habarbalangan
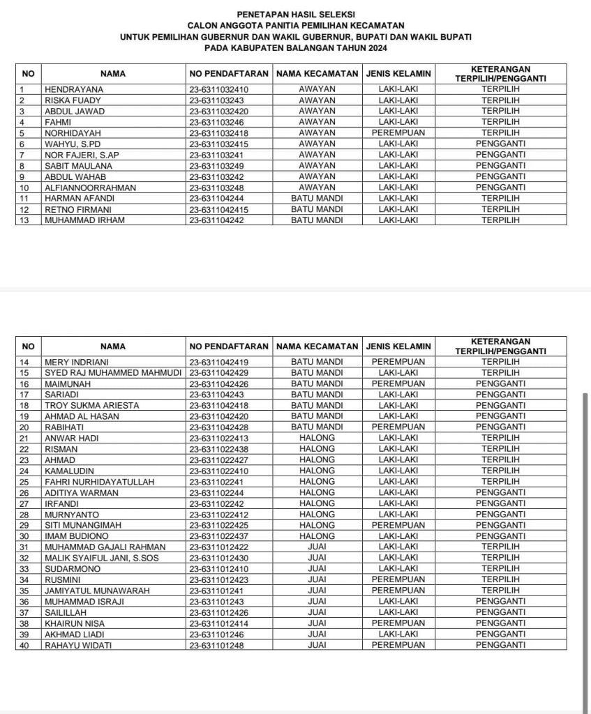
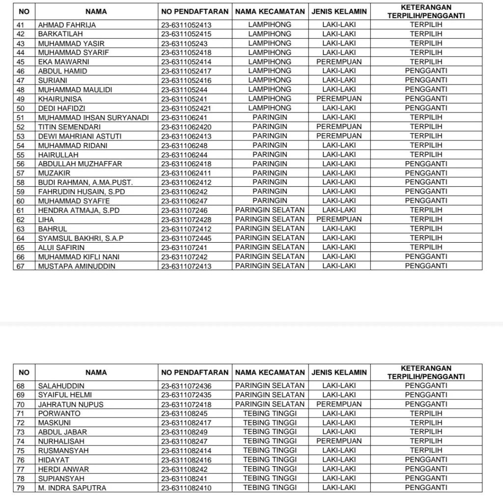
KPU Balangan Tetapkan Hasil Seleksi Calon Anggota Panitia Pemilihan Kecamatan (PPK) Untuk Pilkada 2024
-
HABAR ATR/BPN3 bulan agoPeringatan 50 Tahun Kemerdekaan Mozambik, Menteri Nusron Harap Kerja Sama dengan Indonesia Terus Diperkuat
-
HABAR ATR/BPN3 bulan agoGEMAPATAS Akan Dicanangkan Serentak di 23 Kabupaten/Kota
-
HABAR ATR/BPN3 bulan agoMenteri Nusron Ajak Kepala Daerah Se-Sulawesi Berbagi Tanggung Jawab Selesaikan RDTR
-
HABAR ATR/BPN3 bulan agoRapim Semester I, Menteri Nusron Minta Jajaran Evaluasi Tunggakan dan Layanan Elektronik
-
HABAR ATR/BPN3 bulan agoBuka Kuliah Umum PPTR, Wamen Ossy Tekankan Tata Kelola Agraria serta Tata Ruang yang Adil dan Berkelanjutan
-
HABAR ATR/BPN3 bulan agoMenteri Nusron Ajak Alumni PMII Berperan dalam Mewujudkan Keadilan, Pemerataan, dan Kesinambungan Ekonomi
-
HABAR ATR/BPN3 bulan agoKepala Biro Humas dan Protokol Optimis Capai Program Kerja Kehumasan dengan Optimal di Akhir 2025
-
HABAR DPRD BALANGAN3 bulan agoLegislator Muda Nor Sita Maulida Ajak Pemuda Balangan Jadi Motor Kemajuan Daerah
-
habarbalangan3 bulan agoKemenag Balangan Sambut Program Madrasah Layak Belajar BAZNAS, Rp25 Juta untuk 1.000 Madrasah
-
habarbalangan3 bulan agoPemuda Balangan Raih Juara Dua Lomba Kreativitas Pemuda Tingkat Kalsel 2025
-
habarbalangan3 bulan agoProduk UMKM dan Kerajinan Bambu Balangan Tampil di BUMDesa Expo Kalsel 2025




